Skip to content
lamate.ro
Articole
Meditatii
Clase primare
Clasa a II-a
Clasa a III-a
Clasa a IV-a
Clase gimnaziale
Clasa a V-a
Clasa a VI-a
Clasa a VII-a
Clasa a VIII-a
Liceu
Clasa a IX-a
Clasa a X-a
Clasa a XII-a
Clasa a XI-a
Facultate
Licenta
Master
Diverse
Contact
lamate.ro
Articole
Meditatii
Clase primare
Clasa a II-a
Clasa a III-a
Clasa a IV-a
Clase gimnaziale
Clasa a V-a
Clasa a VI-a
Clasa a VII-a
Clasa a VIII-a
Liceu
Clasa a IX-a
Clasa a X-a
Clasa a XII-a
Clasa a XI-a
Facultate
Licenta
Master
Diverse
Contact
Exerciții și probleme clasa a V -a
Exerciții și probleme clasa a V -a
Exerciții și probleme
Subiecte pentru teză
Media aritmetică, ecuații și inecuații
OPERAȚII CU NUMERE NATURALE
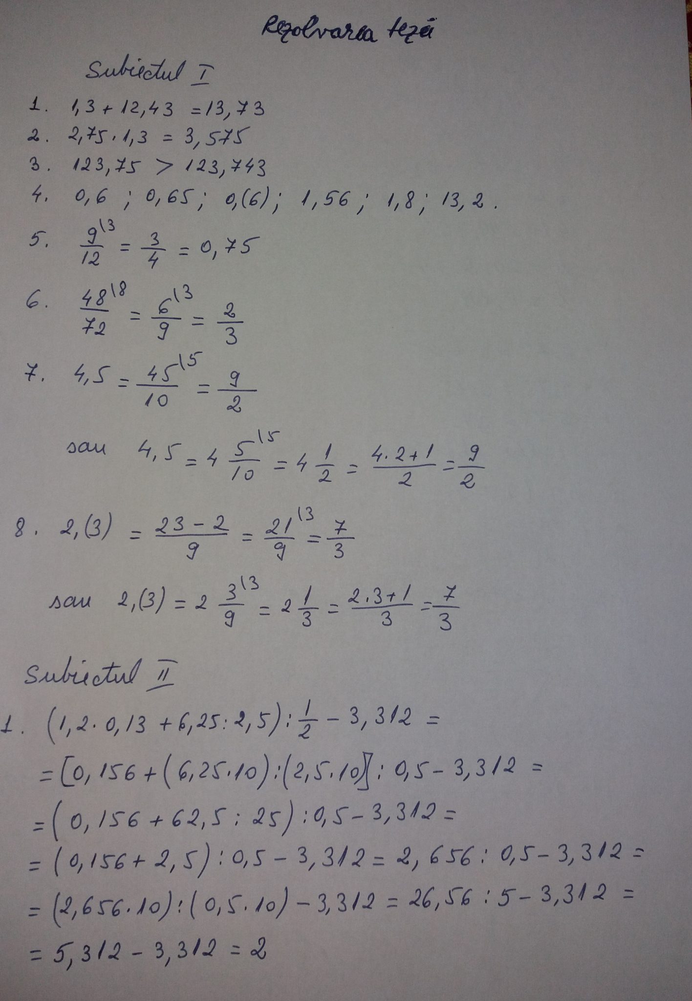
Rezolvare
Imprima articolul
Listare
Similare
Navigare în articole
Anterior:
Articolul anterior:
Manual – Matematica clasa a V-a
Următor:
Articolul următor:
Clubul matematicienilor clasa a V-a, semestrul I
Lasă un răspuns
Anulează răspunsul
Cautare
Caută după:
Articole recente
Matematică, clasa a VI-a, Semestrul I
Manual Matematica clasa a VI-a
Simulare – E. N. clasa a VII-a
Clubul matematicienilor clasa a VII-a, semestrul al II-lea
Culegere matematică clasa a IV -a – Arthur la școală
Categorii populare
Clasa a III-a
Clasa a IV-a
Clasa a IX-a
Clasa a V-a
Clasa a VI-a
Clasa a VII-a
Clasa a VIII-a
Clasa a XI-a
Clasa a XII-a
Clase gimnaziale
Clase primare
Diverse
Facultate
Licenta
Liceu